Close

汪宗泗公硃卷

这是曾太公汪宗泗公光绪己丑恩科(光绪15年1889年)乡试考中举人的卷子,炘炘发现有售,买回来作为纪念。1889年光绪帝亲政,为庆祝亲政,在正常三年一科之外额外开一科考试,所以称为恩科。

首先是家状,就是家庭背景、社会关系,要录取的考生当然要求家世清白。

有了这份家状,汪家家谱比较完整了。等有空的时候再来修订家谱。

Clip_20221008_001444
Clip_20221008_001631
Clip_20221008_001710
Clip_20221008_001733
Clip_20221008_001812
Clip_20221008_001834
Clip_20221008_001900
Clip_20221008_001925
Clip_20221008_001946
Clip_20221008_002010

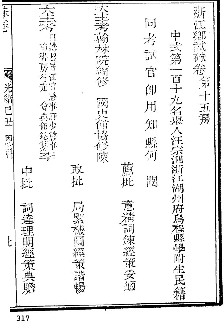
这里开始是考试结果,中式就是合格,还有排名,曾太公是第119名,以及考官的评语。

Clip_20221008_002108
Clip_20221008_002135

以下是考试正文。清朝乾隆以后的乡会试题,第一场《四书》制义题三,五言八韵诗题一。第二场《五经》、制义题各一。第三场策问五。

经义制义就是取《四书》《五经》中的一句,做命题作文。第一场的第一题取自《论语》。

Clip_20221008_002204
Clip_20221008_002226
Clip_20221008_002251
Clip_20221008_002310

第二题取自《中庸》

Clip_20221008_002328
Clip_20221008_002349
Clip_20221008_002408
Clip_20221008_002426

第三题取自《孟子》

Clip_20221008_002449
Clip_20221008_002542
Clip_20221008_002603
Clip_20221008_002624

然后是五言八韵诗一首,太公的诗题是《赋得与君约略说杭州》,州字韵。这首诗写杭州风物,文词风流,考官评语是“骚情逸韵,触绪纷来。“我喜欢里面的“帘卷双峰秀,涛飞一线秋”和“花港萦前梦,莲舟忆旧游”两句。

约略名区胜,倾襟话不休。
闲情呤白传,故事说杭州。
鲑菜抛难去,鸿泥认未周。
烟波惊过眼,风月数从头。
帘卷双峰秀,涛飞一线秋。
蠡湖曾管领,凫鸟久勾留。
花港萦前梦,莲舟忆旧游。
对君挥尘论,把盏更绸缪。

Clip_20221008_002652
Clip_20221008_002713

第二场是五经、制义题各一。第一题来自《易经》,《易经》是五经里最难解的,这题有难度。

Clip_20221008_002733
Clip_20221008_002753
Clip_20221008_002813
Clip_20221008_002832

第二题取自《春秋》。

Clip_20221008_002855
Clip_20221008_002914
Clip_20221008_002940

按体例,应该还有第三场五篇策问,朱卷没有收录。可能是因为朱卷相当于优秀试卷,是给学生学习的,前面的经义题目相对固定,容易借鉴。而策问就是议论文,题目太广,借鉴意义不大,所以没有收录吧。

Leave a Comment


4 Comments

  1. 孙振奇
    /Reply

    今天履纬哥给我这个网址,登陆后看了非常好。

    • 汪振炫 孙振奇
      /Reply

      振奇叔,我已对您授权,您现在可以在这个网站上发表文章了。把鼠标移到您的头像上,会有下拉菜单弹出。选择后台管理,即可在后台发表文章。具体做法是:点击后台左边栏的“页面”,点击“汪本廉堂”,点击“添加子页面”,点击“detailed blog page",即可进入文章编辑界面,写完了在最下面选择”发布“即可。 欢迎您到这个网站来逛逛,更欢迎您发一些回忆的文章,让小辈们看看。如果使用中有什么问题,包括有什么功能修改的建议,都可以给我留言,我会尽快处理。

  2. 汪振炘
    /Reply

    专业注释!

    • 汪振炫 汪振炘
      /Reply

      你注册好了,我已经把你的权限授好了,现在鼠标移到你照片上,下拉菜单会出现后台管理,点进去以后可以发表文章了。

来签个到再发言吧~


登录 注册